La ley de cosenos es utilizada para hallar un lado o ángulo que se desconoce de un triángulo no rectángulo. No obstante, se deben contar con ciertos datos para poder aplicar esta ley, de lo contrario, necesitaremos la ley de senos. Para aprender todo sobre la ley de cosenos continúa leyendo.
¿Que es la ley de cosenos?
Como se acaba de mencionar, la ley de cosenos permite hallar cuánto mide el lado de un triángulo no rectángulo, es decir, un triángulo oblicuángulo, e incluso los ángulos, no obstante, para ello se deben tener algunos datos en concreto. En primer lugar, para hallar el lado que se desconoce de un triángulo oblicuángulo necesitaremos saber cuánto miden los otros dos lados y el ángulo adyacente entre estos dos lados, es decir, el ángulo opuesto al lado desconocido.
Y si se desconocen todos los ángulos, será necesario conocer cuánto miden todos los lados, es decir, tener el valor de a, b y c. Se debe tener siempre presente que los ángulos estarán identificados con letras mayúsculas (A,B, C) mientras que los lados con letras minúsculas (a, b, c). La ley de coseno también es conocida como teorema del coseno y
Fórmula de la ley de cosenos
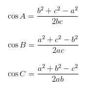
La ley de cosenos dice que en todo triángulo el cuadrado de un lado es igual a la suma entre los otros dos lados menos el doble producto de ellos multiplicado por el coseno del ángulo entre ellos. Las fórmulas para le ley de cosenos serían las siguientes:

En caso de tener el valor de cada uno de los lados del triángulo y se deban hallar los ángulos, se necesitará despejar el coseno, quedando la fórmula de la siguiente forma:

Ejemplos de la ley de cosenos
A continuación encontrarás algunos ejemplos en donde se resuelven ejercicios aplicando la ley o teorema del coseno.
Primer ejercicio:
En el siguiente ejemplo vemos un triángulo no rectángulo en el cual se desconoce su lado b y sus ángulos adyacentes, es decir A y C.

Primero se halla el lado b, para lo cual se realiza el siguiente procedimiento:

Posteriormente se calcula el ángulo A o C; en este caso se despejará A:

Conociendo el ángulo A y B es posible hallar el ángulo C del siguiente modo:

De este modo quedaría resuelto este primer ejercicio y tendríamos todos los valores del triángulo.

Segundo ejercicio:
En el siguiente ejercicio nos revelan el valor de todos los lados del triángulo, siendo necesario hallar todos los ángulos.

El primer ángulo que se hallará será A, para ello se aplicará una de las fórmulas vistas anteriormente.

Tras hallar el ángulo A se procede a hallar el ángulo B y se usa la fórmula correspondiente para lograrlo.

Finalmente se halla el ángulo C con su respectiva fórmula.

Para comprobar que todos los ángulos son correctos se hace el siguiente procedimiento:

Y así comprobamos que el ejercicio lo hemos completado correctamente y tenemos el triángulo resuelto.

Aplicación de la ley de cosenos
La ley de cosenos o teorema del coseno es una generalización del teorema de Pitágoras. Esta ley es fundamental en la trigonometría y permite resolver distintos problemas que se pueden presentar en ciertas áreas de la vida real. Al ser una función trigonométrica, es de gran importancia dentro de la arquitectura y en los diseños mecánicos.
Gracias a este teorema es posible relacionar medidas y obtener ángulos para crear estructuras y diseños más exactos y perfectos. Un claro ejemplo de su uso sería el siguiente: Un ingeniero topógrafo necesita saber la distancia que hay de un edificio en un punto A a otro edificio en un punto B. Sin embargo, el ingeniero se encuentra en un punto C y solo conoce la distancia que hay desde su punto a los dos edificios y el ángulo que hay entre ellos y su posición actual.

Para conocer la distancia que hay entre los dos edificios, el ingeniero podrá aplicar la ley del coseno, ya que conoce el ángulo opuesto a la distancia que desea hallar y tiene el valor de dos lados del triángulo que se forma uniendo los puntos A, B y C.
Si deseas practicar la ley de cosenos, puedes ingresar al siguiente archivo PDF, allí encontrarás varios ejercicios propuestos y con su respectiva solución, por lo tanto podrás practicar y saber si los estás desarrollando correctamente.
