Las leyes de Kirchhoff son esenciales para comprender y analizar los circuitos en electricidad y electrónica junto con la ley de Ohm. Si deseas conocer en qué consiste la ley de Kirchhoff, cuáles son sus leyes, fórmulas y mucho más, a continuación podrás hallar toda la información que requieres.
¿Qué son las leyes de Kirchhoff?
Como se acaba de señalar, las leyes de Kirchhoff junto a la ley de Ohm permiten analizar los circuitos en electricidad y electrónica. Las leyes de Kirchhoff son dos en total, y junto a la ley de Ohm forman el conjunto de leyes básicas para comprender cómo se comporta la corriente, el voltaje y la resistencia.
El físico prusiano Gustav Robert Kirchhoff fue quien describió las leyes de corriente y voltaje en 1846, las cuales se basan en la ley de la conservación de la energía y la ley de conservación de la carga eléctrica. Los principios establecidos por Gustav Kirchhoff son empleados para calcular la tensión y la corriente en cualquier circuito eléctrico.

¿Cuáles son las leyes de Kirchhoff?
Tal como se mencionó anteriormente, las leyes de Kirchhoff son dos. Estas describen cómo se comporta la corriente y el voltaje en cualquier circuito eléctrico. Es por ello que estos principios son tan fundamentales y utilizados en ingeniería eléctrica y electrónica.
Primera ley de Kirchhoff, ley de los nodos o ley de corriente
La primera ley establecida por Kirchhoff es la ley de corriente, llamada también ley de los nodos, primera ley o simplemente LCK. Esta ley o principio señala que la suma de todas las corrientes que entran en cualquier nodo es proporcional o equivalente a la suma de las corrientes que salen.
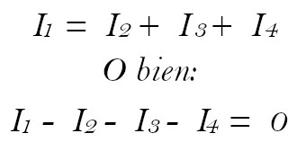
Asimismo, indica que la suma de todas las corrientes que pasan por el nodo, es decir, tanto la corriente que entra como la que sale; es igual a cero. La fórmula de este primer principio es la siguiente:

En la siguiente imagen se puede apreciar como un nodo recibe una corriente (I1) y expulsa tres corrientes (I2, I3, I4). De acuerdo con la ley de los nodos o ley de corriente, la suma de las cuatro corrientes, independientemente de que salga o entren, será igual a cero. Además, la suma de las corrientes que salen del nodo será igual a la suma de las corrientes que entran.

Esto es así porque este principio se basa en la ley de la conservación de energía, es decir, la energía no se crea ni se destruye sino que se conserva y se transforma.
Segunda ley de Kirchhoff, ley de las mallas o ley de voltaje
Por otro lado nos encontramos con la segunda ley de Kirchhoff, también conocida como ley de voltaje o ley de mallas. Este principio indica que la suma de todos los voltajes de un bucle cerrado o malla es igual a cero. Además, señala que la suma de todas las caídas de tensión debe ser equivalente al total de la tensión administrada. La fórmula de esta ley es:

Cabe señalar que ‘Vf’ es la fuente de voltaje y ‘VR1’, ‘VR2’, ‘VR3’, ‘VR4’ corresponden a las caídas de tensión en cada resistencia. En la siguiente imagen se puede observar un bucle cerrado. De acuerdo con la ley de voltaje, la suma de todas las caídas de tensión tendrá que ser igual al valor administrado por la fuente de voltaje; y la suma de todos los voltajes en el circuito deberá ser igual a cero.

Una vez se tengan en claro estas dos leyes y la ley de Ohm, se podrán hacer cálculos para determinar los valores de las caídas de tensión y las corrientes en cualquier punto de un circuito. Si deseas practicar ejercicios con las leyes de Kirchhoff, en el siguiente archivo PDF encontrarás ejemplos y ejercicios resueltos.
